上海银行(601229)中签号公布 上海银行中签结果查询

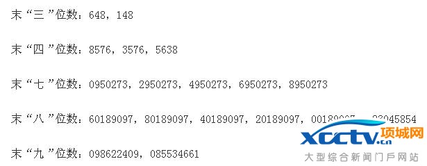
刷新今年来A股IPO最大规模纪录的上海银行(601229)中签号于昨晚公布,本次中签号码有540405个。有中签的投资者记得兑奖!下面是具体中签结果:

凡持有的申购配号尾数与上述号码相同的,则为上海银行(601229)中签号码。每个中签号码只能认购1000股上海银行(601229)股票,中签的投资记得于今日完成认购。
>更多相关文章
-
无相关信息
24小时热门资讯
热门推荐
酷图美文

刷新今年来A股IPO最大规模纪录的上海银行(601229)中签号于昨晚公布,本次中签号码有540405个。有中签的投资者记得兑奖!下面是具体中签结果:

凡持有的申购配号尾数与上述号码相同的,则为上海银行(601229)中签号码。每个中签号码只能认购1000股上海银行(601229)股票,中签的投资记得于今日完成认购。